It is challenging to adopt a policy of ABO identical platelet transfusion in hemato-oncological patients because of the high demand. Moreover, there are no global standards for the management of ABO non-identical platelet transfusions due to limited evidence. The current study compared the impact of dose and storage duration of platelets on percent platelet recovery (PPR) at 1 h and 24 h between ABO identical and ABO non-identical platelet transfusions in hemato-oncological conditions. The other objectives were to assess the clinical efficacy and compare adverse reactions between the two groups.
MethodsA total of 130 random donor platelet transfusion episodes (81 ABO identical and 49 ABO non-identical) were evaluated in 60 eligible patients with different malignant, as well as non–malignant, hematological conditions. All analysis was performed using two-sided tests, and p-values <0.05 were considered significant.
ResultsThe PPR at 1 h and 24 h was significantly higher in ABO identical platelet transfusion. Platelet recovery and survival were not affected by the gender, dose or storage duration of platelet concentrate. Aplastic anemia and myelodysplastic syndrome (MDS) disease conditions were observed to be independent risk predictors for 1-h post-transfusion refractoriness.
ConclusionABO identical platelets have higher platelet recovery and survival. Both ABO identical and ABO non-identical platelet transfusions have similar efficacy in controlling bleeding episodes up to World Health Organization (WHO) grade two. Assessment of other factors, such as platelet functional properties in the donor, anti-HLA and anti-HPA antibodies, may be needed to better understand the platelet efficacy of platelet transfusions.
Platelets are essential for hemostasis. To support vascular integrity, approximately 7.1 × 109 platelets/L per day are required.1 Platelets express a variety of antigens which are either non-specific platelet antigens that are shared with other cells, such as red blood cells (RBCs) and white blood cells (WBCs), e.g., ABH antigens and other red cell antigens (Lea, Leb, I, i, P, and Cromer),2 human leukocyte antigens (HLA), glycoprotein IV (GPIV) and glycoprotein VI antigens, or platelet-specific antigens, which are human platelet antigens (HPA) essentially present on platelets.3
Platelet transfusion is classified as either therapeutic (to treat bleeding in patients with World Health Organization (WHO) bleeding scores of ≥2) or prophylactic (to prevent bleeding in patients with WHO bleeding scores of zero to one).4 Hemato-oncological patients are among the most prominent groups receiving platelet transfusions due to intensive chemotherapy regimens and autologous or allogeneic transplantation.5
ABO non-identical platelet transfusions could be either ABO major incompatible, in which the ABH antigens present on donor platelets interact with ABO antibodies present in the plasma of the recipient, or ABO minor incompatible, in which donor plasma having ABO antibodies interacts with ABH antigens present on red cells and platelets of the recipient, and bidirectional ABO incompatibility, in which both major and minor incompatibility is present, e.g., group B platelet transfusion to group A patient.2 ABO identical platelet concentrates between donor and recipient are the first choice for platelet transfusion and should be used most of the time.4 However, due to the short shelf life of platelets, the use of ABO non-identical platelets results in reduced wastage of platelets. It is helpful in emergencies if ABO identical platelets are unavailable.4
The clinical significance of the effect of ABO matching has been controversial for a long time. Many studies have recognized that ABO-incompatible platelet transfusions are associated with decreased count increments.5,6 ABO minor-mismatched platelet transfusion can also cause hemolytic transfusion reactions, veno-occlusive disease and an increase in morbidity in patients undergoing allogeneic hematopoietic stem cell transplantation (HSCT).7 There is considerable variation in practice regarding ABO-incompatible platelet transfusions and there is no global standard for managing ABO-incompatible platelet transfusions.8 A systematic review demonstrated that ABO identical platelet transfusion was associated with a higher platelet increment than ABO non-identical platelet transfusion, without any significant benefit in clinical outcomes.9 In addition, the impact of the dose of platelet concentrate and the storage duration of platelets on the post-transfusion platelet recovery and successful clinical outcome is also debatable, as clinical studies and systematic reviews show contradictory results.10-13 Furthermore, inadequate data illustrates a comparative analysis of the impact of dose, storage age of the platelet concentrates and the disease conditions on post-transfusion platelet recovery between ABO identical and ABO non-identical platelet transfusions. Therefore, the primary objective of this study was to compare the percentage platelet recovery (PPR) between ABO identical and ABO non-identical platelet transfusions and to assess the impact of dose, storage duration of platelet concentrates on the PPR, and clinical efficacy between ABO identical and ABO non-identical platelet transfusions in various hemato-oncological disease conditions. The secondary objectives were to evaluate the clinical effectiveness of ABO identical versus ABO non-identical platelet transfusions, as per a modified WHO bleeding scale, to compare the number and types of adverse events between ABO identical and ABO non-identical platelet transfusions, to compare the PPR and clinical efficacy between ABO major-mismatched, ABO minor-mismatched and ABO bidirectional-mismatched platelet transfusions.
MethodsStudy design and study settingThis study was a prospective observational cohort study conducted on hemato-oncological patients in the Clinical Hematology Outpatient Department (OPD) and Clinical Hematology Ward from January 2020 to December 2021. The Institutional Ethical Committee approved the study with the registration no.: IEC/AIIMS BBSR/PG Thesis/2019-20/97. Written informed consent was obtained from each adult participant. A written informed assent form was also obtained from the pediatric participant.
Inclusion criteriaBenign and malignant hemato-oncological patients who received platelet transfusion at least once were included.
Exclusion criteriaSubjects who refused to participate in the study, or those who presented with fever (temperature of 38.5 °C or over) before transfusion, a clinically palpable spleen, adverse events needing transfusion interruption, thrombosis, sepsis, grade three or more bleeding according to the WHO bleeding scale, disseminated intravascular coagulation (DIC), veno-occlusive disease (VOD), graft-versus-host disease (GVHD), immune thrombocytopenic purpura (ITP), thrombotic thrombocytopenic purpura (TTP), hemolytic uremic syndrome (HUS), or those in use of any drugs interfering with platelet functions, were excluded.5
Sample size calculationABO identical and ABO non-identical platelet transfusions were the two groups considered for sample size calculation. Considering the effect size of 20%, i.e., the difference in efficacy in terms of PPR between the ABO identical and ABO non-identical platelet transfusions, with a confidence interval of 95%, power of 0.8 and using two-sided tests, the sample size was estimated to be 95 transfusion episodes. However, we included 130 transfusion episodes in 60 patients in our study.
Preparation and issue of plateletsRandom donor platelets (RDPs) were prepared from whole blood, either by the platelet-rich plasma (PRP) method or by the buffy coat method, as per the departmental standard operating procedures (SOPs). The storage period of the RDPs was for a maximum of 5 days at 20–24 °C, with constant agitation in the platelet agitator, until being issued for transfusion. The number of storage days of platelet concentrates was recorded at the time of the transfusion, with day zero being counted as the date of the preparation of platelet concentrates. Depending on the availability, ABO identical or ABO non-identical platelet products were issued for transfusion to the patients. The platelets used in our study were non-leukoreduced as leukoreduced platelets were not affordable for the study population. RhD-positive platelets were not given to RhD-negative female recipients of reproductive age groups, whenever possible. The first in, first out policy was adopted to avoid the wastage of RDP units.5
Platelet transfusion planThe British Committee for Standards in Haematology (BCSH) transfusion guidelines were used for prophylactic and therapeutic platelet transfusions.4 The body surface area (BSA) was calculated from the body weight using a standard chart and the blood volume (BV) was calculated using the Glicher's Rule of Five.14,15
Platelet dose was calculated by the formula as described in the literature; platelet dose (PD) = [volume of platelets transfused (in liters) × platelet count of the platelet product (×1011/L)], and platelet dose per body surface area (i.e. PD/BSA) was finally taken as the actual platelet dose transfused to the patients.16
Due to the COVID-19 pandemic, there was a shortage of platelet concentrates at our blood center, so the standard dose of platelets could not be provided to all the patients. Thus, the dose was divided into low, standard and high. The low dose was ≤1.1 × 1011 platelets/m2 of the BSA, the standard dose was 1.11–2.2 × 1011 platelets/m2 of the BSA and the high dose was >2.2 × 1011 platelets/m2 of the BSA.12 The storage days of platelet concentrates at the time of transfusion were divided into three groups: <3 days stored platelets, ≥3 days stored platelets and a mixture of platelets stored for more than or approximately 3 days and <3 days. Adverse events following platelet transfusion were monitored till 6 h after transfusion. All the patients included in our study were previously transfused or had a history of previous pregnancy, but the details of previous transfusions and pregnancies were not available.
Determination of platelet countThe platelet count of study participants was measured by a seven-part automated hematology analyzer (Sysmex XN-1000, Sysmex India Private Limited). In cases of a platelet count <30 × 109/L or an abnormal histogram in the automated hematology analyzer, the platelet count was verified by examination of the peripheral blood smear.17 The platelet count of the platelet concentrates was measured by a three-part automated hematology analyzer (Sysmex XP-100, Sysmex India Private Limited).
Outcome measurementThe platelet count of the patients was measured on three occasions: pre-transfusion, 1 h post-transfusion and 24 h post-transfusion. The PPR was calculated at 1 h and 24 h post-platelet transfusion. Patients receiving therapeutic platelet transfusion were assessed for improvement in a modified WHO bleeding scale post-transfusion.5 The adverse events following platelet transfusion were recorded and managed according to standard guidelines. The platelet transfusion success was defined by a PPR of >30% at 1 h post-transfusion and >20% 24 h post-transfusion.18
Statistical analysisThe SPSS Software (IBM SPSS Version 25.0) was used for all statistical analyses. The Shapiro–Wilk test revealed that the data were non-normally distributed. Therefore, medians and interquartile ranges were calculated for descriptive statistics and exact nonparametric methods were used wherever feasible. The Kruskal–Wallis test was performed to observe any difference in outcomes in terms of PPR at 1 h and 24 h between ABO identical and ABO non-identical platelets. The comparison of PPR at 1 h and 24 h post-transfusion was also performed among ABO non-identical platelet groups, among the different days of storage platelet groups and among different doses of platelets transfused. A post hoc analysis was performed when any difference was observed among the different groups. The multivariate logistic regression was performed by adjusting the confounding variables, such as gender, disease condition, the dose of platelets and storage days of platelet concentrates, to predict whether these variables independently have any significant impact on the efficacy and recovery of both ABO identical and ABO non-identical platelet post-transfusions. All analyses were performed using two-sided tests and p-values <0.05 were considered significant.
ResultsDuring the study period, 65 patients (23 females and 42 males) received 160 platelet transfusions, of which 30 were excluded from the analysis for the following reasons: clinically enlarged spleen (two transfusion episodes), study participation refusal (three transfusion episodes), ITP (six transfusion episodes), fever of 38.5 °C or higher before transfusion (12 transfusion episodes), sepsis (three transfusion episodes) and bleeding of WHO grade three or more (four transfusion episodes). The eligible study population consisted of 60 patients with 130 transfusion episodes. The distribution of age, weight, body surface area, blood volume, pre-transfusion platelet count, and platelet increment of the patients is shown in Table 1. The distribution of gender, diagnosis, blood group (ABO and RhD), ABO identical and ABO non-identical platelet transfusions, ABO major mismatched, ABO minor-mismatched and ABO bi-directional mismatched platelet transfusions, the dose of platelet concentrates and days of storage of platelet concentrates is shown in Table 2.
Demography, diagnosis and platelet transfusion details of participants.
| Variable | Transfusions (%) n = 130 | |
|---|---|---|
| Gender | Male | 50 (38.5%) |
| Female | 80 (61.5%) | |
| Diagnosisa | AA | 51 (39.2%) |
| ALL | 38 (29.2%) | |
| AML | 28 (21.5%) | |
| CML | 4 (3.1%) | |
| MDS | 3 (2.3%) | |
| BSS | 3 (2.3%) | |
| GMZL | 1 (0.8%) | |
| SCD | 1 (0.8%) | |
| BL | 1 (0.8%) | |
| ABO blood group | A | 35 (26.9%) |
| B | 48 (36.9%) | |
| AB | 3 (2.3%) | |
| O | 44 (33.9%) | |
| RhD type | Positive | 126 (96.9%) |
| Negative | 4 (3.1%) | |
| ABO identical/non-identical (n = 130) | ABO identical | 81 (62.31%) |
| ABO non-identical | 49 (37.69%) | |
| ABO mismatched (major, minor or bidirectional) (n = 49) | ABO major mismatch | 28 (57.14%) |
| ABO minor mismatch` | 16 (32.66%) | |
| ABO bi-directional mismatch | 5 (10.2%) | |
| Dose of platelet concentrates (n = 130) | Low | 39 (30%) |
| Standard | 81 (62%) | |
| High | 10 (8%) | |
| Days of storage of platelet concentrates (n = 130) | <3 days | 61 (47%) |
| ≥3 days | 48 (37%) | |
| Mixed | 21 (16%) |
Of the 130 platelet transfusion episodes, 121 were given prophylactically and nine were given therapeutically. All platelet transfusions had shown therapeutic improvement in the WHO bleeding score post-transfusion, irrespective of the ABO compatibility. A total of four transfusion reactions (two allergic reactions and two febrile non-hemolytic transfusion reactions) were reported, three in the ABO identical group and one in the ABO non-identical group. Of the 60 eligible patients, 25 patients received only ABO identical platelet transfusions, 12 patients received only ABO non-identical platelet transfusions and 23 patients received both ABO identical and ABO non-identical platelet transfusions.
Analytical statisticsThe difference in the PPR at 1 h and 24 h post-transfusion between the ABO identical and ABO non-identical groups was found to be statistically significant (p = 0.005 and 0.001, respectively) (Figure 1A and B). However, the difference in the PPR at 1 h and 24 h post-transfusion between ABO major-mismatched, ABO minor-mismatched and ABO bidirectional-mismatched groups was insignificant (Figure 1C and D).
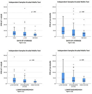
The difference in the PPR at 1 h post-transfusion between <3 days old platelets, ≥3 days old platelets and mixed platelets was not statistically significant (p = 0.051), yet was substantial at 24 h post-transfusion (p = 0.018) (Figure 2A and B). However, the post hoc analysis with multiple pairwise comparisons did not reveal any significant difference. (Supplementary Table 1) The difference in the PPR at 1 and 24 h post-transfusion between low, standard and high platelet concentration doses was not statistically significant (Figure 2C and D). Similarly, non-significant 1- and 24-h post-transfusion PPRs were also observed when the platelet dose and storage duration were analyzed separately in ABO identical and ABO non-identical platelet transfusion groups (Supplementary Figures 1 and 2). None of the patients from either group had any worsening bleeding episodes, irrespective of the dose and storage duration of the platelets transfused. Older units of platelet concentrates (≥3 days old) were implicated in two transfusion reactions and the remaining two reactions were implicated each by fresh platelet (<3 days old) and mixed platelet concentrates. No significant association was observed between the older platelets (≥3 days old) and transfusion reactions. (OR: 1.739, CI: 0.237–12.764, p = 0.583)
Furthermore, the multivariate logistic regression analysis showed that the PPR transfusion efficacy at 1 h post-transfusion was not affected by gender, the dose of platelets used (low, standard or high) or by the duration of platelet concentrate storage days. However, aplastic anemia and the MDS group were significant risk predictors for poor clinical efficacy with significant 1-h post-transfusion refractoriness. (p = 0.01, OR: 3.044, CI: 1.307–7.089) (Table 3).
Multivariate logistic regression analysis on 1-h refractoriness to platelet transfusions.
| Predictor variables | Regression slope (B) | Standard error (S.E.) | Significance | Odds ratio (OR) | 95% CI for OR | |
|---|---|---|---|---|---|---|
| Lower | Upper | |||||
| Constant | −2.511 | 1.242 | 0.04 | 0.08 | ||
| Gender (male/female) | ||||||
| Male | −0.401 | 0.441 | 0.363 | 0.669 | 0.282 | 1.589 |
| Dose: Low/standard/high | ||||||
| Dose: low | 1.486 | 1.156 | 0.199 | 4.422 | 0.459 | 42.633 |
| Dose: standard | 1.436 | 1.119 | 0.199 | 4.206 | 0.469 | 37.690 |
| Day of storage: (<3 days/≥3 days/mixed) | ||||||
| <3 days | −0.543 | 0.591 | 0.358 | 0.581 | 0.182 | 1.852 |
| ≥3 days | 0.314 | 0.595 | 0.597 | 1.369 | 0.427 | 4.391 |
| Disease conditions (Aplastic anemia and MDS/Leukemia and Lymphoma) | ||||||
| Aplastic anemia and MDS | 1.113 | 0.431 | 0.01a | 3.044 | 1.307 | 7.089 |
In our study, we noted that ABO identical platelet transfusion is superior in terms of platelet recovery and survival compared to ABO non-identical platelet transfusion. The platelet recovery and survival do not depend on the type of ABO mismatch (major, minor or bidirectional). The findings of our study are consistent with most previous studies, which showed that ABO identical platelet transfusion was associated with higher platelet recovery and platelet survival and less refractoriness compared to ABO non-identical platelet transfusion.19,20 In our study, the platelet recovery and the success of platelet transfusion in the ABO non-identical group did not depend on the type of ABO mismatch. The finding of less count increment with ABO minor-mismatched platelets compared to ABO identical platelets could be due to the formation of ABO immune complexes, which activate the complement system leading to enhanced clearance of platelets.21
We observed that platelet dose and storage duration did not significantly impact post-transfusion platelet recovery in both ABO identical and ABO non-identical platelet transfusions. However, the previous studies showed that higher doses of platelets, especially the leukofiltered apheresis platelets, have a higher chance of post-transfusion increment and reduced refractoriness.6,22 The randomized trial on prophylactic platelet transfusions conducted by Slichter et al.,12 demonstrated that a low dose of platelet transfusion resulted in a reduced number of platelets per patient but an increased number of platelet transfusions. Similar findings were also established by a systematic review conducted by the Cochrane group.13 We did not find any significant difference in the platelet concentration dose, possibly because fewer patients in the ABO identical and ABO non-identical group received a high dose of platelet transfusions in our study. Few studies, including systematic reviews and meta-analyses, have shown that the duration of storage of platelets has an impact on the post-transfusion corrected count increments.10,11,22 The fresher platelets (<3 days old) were associated with higher post-transfusion platelet count increment and longer transfusion interval. However, a recent study did not find any difference in platelet count increment in critically ill children who received older platelets.23 We noted a very marginal non-significance (p = 0.051) for the 1-h PPR with storage duration of platelets transfusion (Figure 2A) and significant 24-h PPR (p = 0.018) with storage duration of platelets. (Figure 2B) However, further post hoc analysis of the pair-wise comparison between the storage duration of platelet for PPR at 24 h was not significant (Supplementary Table 1). Hence, the marginal non-significance p-value for 1 h PPR may be due to the low number of cases in the group and thus its statistical significance has to be interpreted with caution.
We identified aplastic anemia and the MDS group as independent risk factors for 1-h post-transfusion refractoriness. Platelet refractoriness is well-established in bone marrow failure syndrome conditions requiring multiple units of blood and blood component transfusions.24 Immunological causes, such as antibodies against the human leucocyte antigen (HLA) class I antigens or antibodies against the human platelet antigens (HPAs) are most commonly implicated in refractoriness.24 Klingemann et al. reported that 34% of aplastic anemia patients were refractory to non-leukoreduced pooled random donor platelet transfusions.25 In our study, all the patients received non-leukoreduced RDPs, which might have contributed to the development of alloimmunization against HLA class I antigens or HPA antigens, resulting in refractoriness.
We did not notice any difference in efficacy in controlling bleeding episodes up to WHO grade two between ABO identical and ABO non-identical groups. Our study substantiated a previous study that demonstrated that different prophylactic doses of platelets did not affect the occurrence of bleeding.15 Our findings are also concordant with previous studies that showed that platelet storage duration does not significantly impact the prevention of clinical bleeding.10,22 Furthermore, we did not find any significant difference in the transfusion reaction between the ABO identical and ABO non-identical platelet transfusions. Another previous study showed similar rates of transfusion reactions with the use of ABO identical and ABO non-identical platelets.26 The use of ABO minor-mismatched platelets was not associated with increased hemolytic transfusion reaction rates in our study, in contrast to other studies showing an increased incidence of hemolytic transfusion reactions with the use of ABO minor-mismatched platelet transfusions.27,28 We transfused mainly RDP having less plasma volume in ABO minor-mismatched platelet transfusions, in contrast to most of the previous studies using single donor platelets (SDPs), having a higher volume of plasma and, thus, having higher levels of anti-A and/or anti-B.28,29 Our study also did not find any significant association of adverse outcomes with the older platelets. Studies have shown a variable association between the storage duration of platelets with adverse events.23,30 The differences in the finding are possibly related to the heterogeneity, especially the difference in physiology and pathogenesis of the disease conditions among the patients, or the difference in physiology among the platelet donors, which may contribute to different clinical outcomes associated with the storage duration of platelets.27
The strength of our study was that we included both adult and pediatric patients, including and all benign and malignant hematology patients. In addition, we analyzed whether platelet transfusion efficacy is affected by factors other than ABO matching, such as gender, type of ABO mismatch, platelet storage days, dose of the platelet concentrate and disease conditions.
However, our study had limitations of an observational nature, as well as the non-inclusion of single donor platelet (SDP) transfusions. We could not include SDPs in our study, as most of the patients at our institution cannot afford SDPs due to their high cost, and we have an institute protocol of transfusing only ABO identical SDPs. We included patients only up to WHO bleeding grade 2. Thus, this study cannot conclude whether ABO identical and ABO non-identical platelet transfusions have equal efficacy in controlling bleeding episodes in patients with WHO grade three and higher. Moreover, the patients included in our study were previously transfused or had a history of previous pregnancy, so they might have been already alloimmunized with anti-HLA and/or anti-HPA antibodies. This might have impaired the statistical analysis of our data, as the testing for anti-HLA and/or anti-HPA antibodies was not available in our region. We did not assess the donor factors, such as the ABH antigens in donor and platelet functional factors, namely activation and aggregation properties, which may affect the efficacy of platelet transfusion in our study.
ConclusionIn conclusion, ABO identical platelets have superior platelet recovery and survival compared to ABO non-identical platelets. However, platelet recovery and survival do not depend on the type of ABO mismatch. Platelet recovery and survival are also not affected by the platelet concentrate dose and storage duration. Aplastic anemia and MDS were independent risk predictors for 1-h post-transfusion refractoriness resulting in poor platelet recovery. However, a large randomized controlled trial is desired to compare the benefits of ABO identical platelet transfusion with ABO non-identical platelet transfusion in the overall mortality and morbidity and to assess other factors, such as disease conditions, platelet functional properties of the donors and anti-HLA and anti-HPA antibodies in the recipient, which may affect the efficacy of platelet transfusion.









